Complejos NHC de paladio heterogeneizados y sus usos como catalizadores recuperables
Sector Industrial:
- Química y Materiales
Investigador/es:
- Juan Carlos Flores Serrano
Departamento/s:
- Química Orgánica
- Química Inorgánica
RESULTADOS DE LA INVESTIGACIÓN
Resumen:
Un grupo de investigación del Departamento de Química Orgánica y Química Inorgánica de la Universidad de Alcalá ha diseñado catalizadores para procesos de síntesis orgánica basados en complejos carbeno N-heterocíclicos (NHC) de paladio soportados, separables magnéticamente tras su uso, reutilizables y resistentes al lixiviado metálico, así como sus usos en reacciones de acoplamiento carbono-carbono.
El grupo busca empresas del sector químico y farmacéutico para alcanzar acuerdos de licencia, de colaboración y acuerdos comerciales con asistencia técnica.
Descripción:
Específicamente, esta invención consiste en la síntesis de complejos carbeno N-heterocíclico de paladio (CPs) con sustituyentes adecuados que, una vez formados, se heterogeneizan covalentemente sobre nanopartículas magnéticas (PMs), resultando en nanomateriales que contienen los complejos soportados (PMCs) como especies de paladio únicas, bien definidas y fijadas fuertemente al soporte. Las PMCS dan lugar a dispersiones estables en agua y son activas en procesos catalíticos de formación de enlaces carbono-carbono en medio acuoso y en condiciones suaves.
El problema “técnico que resuelven” estos materiales es, por un lado, que el superparamagnetismo del núcleo de las partículas permite su separación completa y fácil de los productos al final de la reacción aplicando un campo magnético y, por otro lado, que el diseño del catalizador soportado permite su recuperación sin degradación apreciable, se pueden reutilizar llegando a valores de TON (turnover number), o productividad, muy elevados y no sufren lixiviado metálico, o es insignificante, resultando en productos de la catálisis con contenidos de paladio inferiores a diez partes por millón, y en ocasiones, incluso en el orden de partes por billón, tras la separación magnética de las partículas.
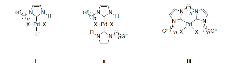
En un primer aspecto la invención está relacionada con nuevos CPs que presentan las tipologías I, II y III.
En un segundo aspecto la invención está relacionada con los métodos de síntesis de dichos CPs de los tipos I, II, III y de sus precursores.
Concretamente, el CP a soportar comprende complejos mono(NHC), bis(NHC) y bis(NHC)-quelato.
En un tercer aspecto la invención está relacionada con los procedimientos de inmovilización de complejos de los tipos I, II y III sobre partículas magnéticas (PMs) de óxido de hierro para generar partículas magnéticas con los complejos soportados (PMCs).
Las PMs utilizadas como soporte son comercialmente disponibles y se caracterizan por diámetros en el rango de decenas a centenas de nanómetros, por un núcleo de óxido de hierro, y por un recubrimiento inerte como sílice o poliestireno.
El procedimiento general de inmovilización consiste en reacciones de condensación, preferentemente con la formación de grupos siloxano o amida, entre los CPs y los correspondientes PMs dispersadas en disolventes orgánicos, o preferentemente en un medio hidroalcohólico en presencia de pequeñas cantidades de surfactantes no iónicos con balance hidrofílico-hidrofóbico alto (HLB>15, usados por debajo de su concentración micelar crítica), en presencia de una carbodiimida como agente de acoplamiento, la adición de una disolución del CP a inmovilizar en un disolvente muy polar, una agitación mecánica constante y una secuencia de lavados que consiste en atrapar las PMCs con un imán externo y separarlas por decantación de las disoluciones.
En un cuarto aspecto la invención está relacionada con el uso de dichas PMCs como catalizadores de reacciones de acoplamiento carbono-carbono.
La presente invención también concierne los usos de las PMCs en reacciones de acoplamiento carbono-carbono, particularmente de Heck-Mizoroki y Suzuki-Miyaura con haluros de arilo, dispersadas en un medio acuoso y en condiciones suaves, y su reutilización en catálisis tras la separación efectiva de los productos mediante un imán externo. Se han analizado sus perfiles cinéticos (% conversión vs. tiempo), su reciclabilidad en ensayos sucesivos de catálisis-recuperación-reutilización, el mantenimiento de sus propiedades en las series de reciclados y el lixiviado sufrido por las PMCs en los mismos.
Las características esenciales de las PCMs de la presente invención son: que catalizan reacciones de acoplamiento carbono-carbono en condiciones suaves, que se separan fácilmente del medio de reacción, que se pueden reutilizar en series de numerosos reciclados, que son muy robustas a la degradación y que apenas sufren lixiviado de paladio.
Aspectos Innovadores:
Estos catalizadores están bien definidos, y tras ser usados se separan fácilmente de los productos sin degradación, se pueden reutilizar y no contaminan los productos por lixiviado de paladio, resultando en productos de la catálisis con contenidos de paladio inferiores a diez partes por millón, y en ocasiones incluso en el orden de partes por billón, tras la separación magnética de las partículas.
Palabras Clave:
- Complejo N-heterocíclico de paladio
- Partículas magnéticas
- Acoplamiento carbono-carbono
- Catalizador recuperable
Disciplinas Científicas:
- Agricultura y Recursos Marinos
- Fabricación Industrial, tecnologías de los Materiales y el Transporte
- Otras Tecnologías Industriales
Grado Desarrollo del resultado de investigación
- En fase de desarrollo
Fuente de financiación de la investigación
- Proyecto Nacional
ASPECTOS COMERCIALES
Ventajas competitivas:
Las ventajas que aporta respecto al estado de la técnica actual de estos catalizadores son:
- Su actividad en condiciones suaves y en medios acuosos.
- La robustez de los catalizadores que se traduce en productividades muy elevadas.
- La facilidad con que se separan de los productos.
- Los bajísimos niveles de lixiviado de paladio que presentan, dando productos en los que no es necesaria la purificación post-sintética para eliminar ese metal.
Estado de la propiedad industrial e intelectual
- Patente solicitada
Comentarios:
La patente ha sido solicitada el 26 de Junio de 2014, con números de solicitud P201400505 (principal) y P201400881 (divisional).
Tipo Colaboración
- Acuerdo comercial con asistencia técnica
- Acuerdo de licencia
- Cooperación técnica
Comentarios:
El grupo busca alcanzar acuerdos comerciales, de cooperación o de licencia con empresas químicas y farmacéuticas.
La asistencia técnica de los acuerdos comerciales se refiere al asesoramiento en la implantación del producto en las empresas y cuestiones derivadas del mismo.
Información Adicional:








